Modalità di valutazione del rischio: Buona Prassi ENEL
| ID 5708 | | Visite: 21950 | Buone Prassi | Permalink: https://www.certifico.com/id/5708 |
Modalità di valutazione del rischio / Buona Prassi ENEL Validata MLPS
ID 5708 | 01.04.2018 / In allegato
Progetto operativo - Enel Produzione SpA - Buona Prassi validata MLPS 2012
Le buone prassi sono soluzioni organizzative o procedurali coerenti con la normativa vigente e con le norme di buona tecnica, adottate volontariamente e finalizzate a promuovere la salute e la sicurezza sui luoghi di lavoro attraverso la riduzione dei rischi e il miglioramento delle condizioni di lavoro (articolo 2, lettera V) decreto legislativo 81/2008 e successive modificazioni e integrazioni.
La presente Istruzione operativa “Identificazione dei pericoli, valutazione dei rischi e definizione delle misure di controllo” fornisce le modalità operative da seguire per l'esecuzione della valutazione dei rischi non misurabili e misurabili per la sicurezza e per la salute ai quali risulta esposto il personale della divisione Generazione ed Energy Management.
L’istruzione operativa per ogni rischio indica i criteri specifici per la valutazione del rischio iniziale e del rischio residuo i cui risultati dovranno essere riportati nella scheda sintetica di valutazione che sarà parte integrante del Documento di Valutazione del Rischio dell’Unità Produttiva.
1. Introduzione
Il recente Testo Unico in materia di salute e sicurezza sui luoghi di lavoro, D.Lgs. 81/08., ha confermato la centralità dell’analisi dei rischi quale elemento per la gestione della sicurezza dei lavoratori, innovando l’oggetto della valutazione e ponendo l’obbligo di valutare in modo preliminare “tutti i rischi” presenti in azienda. L’individuazione e la valutazione dei rischi, obbligo non delegabile del datore di lavoro, resta per Enel l’elemento cardine del sistema di prevenzione e protezione aziendale, adempimento di assoluta centralità per garantire l’effettività ed efficacia dei sistemi di tutela in ogni suo ambiente di lavoro.
Con l'adozione inoltre di un Sistema di Gestione della Sicurezza conforme allo standard OHSAS 18001, l’azienda si propone, insieme al consolidamento dei risultati di quanto già applicato in passato, di affrontare con una visione globale e in un'ottica di miglioramento continuo, la gestione della sicurezza e della protezione della salute di quanti operano presso le nostre strutture.
E’ in quest’ottica che la Divisione Generazione ed Energy Management (GEM) di Enel ha recentemente rivisto il proprio sistema di gestione della sicurezza, implementando e rendendo innovativa per alcuni aspetti la metodologia alla base del processo di valutazione dei rischi e di definizione delle misure di controllo.
Tale processo, sviluppato dalle Unità Produttive della Divisione GEM, è operazione congiunta, in relazione a specifici compiti e responsabilità, di tutte le figure che concorrono alla realizzazione del “sistema della sicurezza sul lavoro”: datore di lavoro, dirigenti, preposti, lavoratori tutti, medico competente, rappresentante dei lavoratori per la sicurezza, responsabile e addetti del servizio di prevenzione e protezione, incaricati alla gestione delle emergenze, primo soccorso, ecc.
Nel seguito si intende descrivere le fasi principali che hanno reso la metodologia in questione un esempio ascrivibile alle “buona pratiche” nel processo di valutazione dei rischi per la sicurezza e salute dei lavoratori che vede come elemento innovativo la possibilità di definire, per ciascuna tipologia di rischio misurabile e non misurabile presente negli ambienti di lavoro Enel e per ogni gruppo omogeneo di lavoratori,
- sia il rischio così come richiesto dal D.Lgs. 81/08 e sul quale si basa la classificazione dei lavoratori, l’eventuale sorveglianza sanitaria, la pianificazione degli interventi per il miglioramento continuo della sicurezza, ecc.
- sia un rischio residuo, alla cui definizione concorrono anche quei presidi di prevenzione e protezione non considerati nella valutazione del rischio iniziale attraverso l’introduzione di specifici coefficienti riduttivi (Ki), la cui entità è funzione dell’attuazione e dell’efficacia delle misure di prevenzione e protezione adottate.
________
2. La valutazione del rischio
2.1 Rischio Iniziale
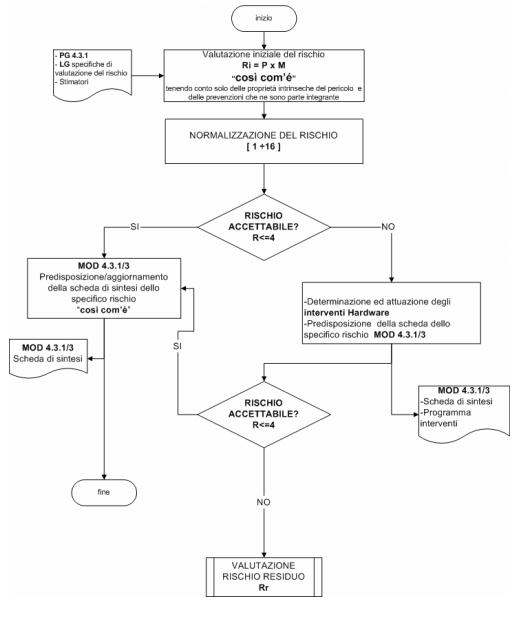
Il rischio è generalmente riconducibile ad un valore R, di solito variabile tra 1 e 16, dato dal prodotto della probabilità P, o frequenza di un dato evento, per la magnitudo o gravità M delle conseguenze dell’accadimento.
Ri = P x M Tale modello è stato applicato in Enel GEM seguendo modalità diverse in base alla classificazione dei rischi:
- misurabili (rumore, agenti chimici, vibrazioni, ecc.) o
- non misurabili (elettrico, caduta, urto, lavoro notturno, ecc.).
Per i rischi misurabili, i cui effetti sono “dose dipendenti”, il rischio è funzione dell’Esposizione, o meglio del valore numerico ottenuto dal rapporto tra l’Esposizione e il TLV (Valore limite soglia) del singolo agente, che è stato denominato Indice di Rischio (IR) e da cui, per mezzo di una funzione, è ricavato il rischio iniziale del rischio (Ri). Ri assume il valore 16 in corrispondenza di IR = 1 Per i rischi misurabili, i cui effetti sono di tipo “stocastico” (agenti cancerogeni e mutageni), il valore di R è calcolato attraverso l’utilizzo di un modello a matrice in cui M assume il valore massimo, mentre P è stimato in base alle risultanze della trattazione statistica dei dati di monitoraggio biologico (IBE) di lavoratori potenzialmente esposti Per i rischi non misurabili, il rischio iniziale è valutato tramite una stima della probabilità di accadimento dell’evento indesiderato e del danno atteso o magnitudo . In maniera schematica il processo valutativo si articola nelle seguenti fasi:
- calcolo del rischio iniziale Ri;
- normalizzazione dell’indice di rischio su un’unica scala [1÷16];
- individuazione e programmazione degli interventi di tipo “hardware” per la riduzione del rischio alla fonte, secondo le priorità indicate dai principi generali dell’art. 15 del D.Lgs. 81/08;
- individuazione e determinazione degli interventi di tipo “software” di riduzione del rischio, specifici per ogni rischio valutato e per ogni gruppo omogeneo (interventi organizzativi, procedurali, formazione, informazione, uso di dispositivi di protezione collettivi ed individuali,). L’individuazione degli interventi “hardware” e “software” sono pianificati e attuati secondo un ordine di priorità correlato al valore di Ri secondo le tabelle che seguono.
I criteri di attribuzione della magnitudo e della probabilità per i rischi non misurabili, di calcolo dell’indice di rischio per i rischi misurabili e le relative tabelle normalizzazione del rischio sono descritti nella IO 4.3.1 “Criteri di valutazione dei rischi non misurabili e misurabili” allegata.
La scala di normalizzazione da 1 a 16, oltre a dare indicazioni sull’entità del rischi, offre anche il vantaggio di stabilire dei valori di soglia, uguali per tutti i rischi, in base ai quali definire se il livello di rischio è ritenuto: accettabile (Ri ≤ 4), da migliorare (6≤Ri≤12) o inaccettabile (Ri=16).
Nel caso la valutazione del rischio iniziale Ri risulti accettabile (R≤4) non c’è necessità di provvedere al calcolo del rischio residuo; la valutazione del rischio è quella iniziale ed i dati ottenuti vengono riassunti nella Scheda sintetica di valutazione del rischio. Altrimenti, il Datore di Lavoro (DdL), supportato dal Servizio di Prevenzione e Protezione (SPP), valuta la possibilità di attuare misure di prevenzione e protezione di cui sopra.
Il seguente diagramma di flusso riassume le modalità adottate per la valutazione del rischio iniziale Ri.
1. SCOPO E CAMPO DI APPLICAZIONE
2. RIFERIMENTI
3. ATTRIBUZIONE DELLA MAGNITUDO E DELLA PROBABILITÀ AI RISCHI MISURABILI E NON MISURABILI
3.1. GENERALITÀ
3.1.1 PREREQUISITO CONFORMITÀ LUOGHI DI LAVORO
3.1.2 PREREQUISITO CONFORMITÀ MACCHINE E ATTREZZATURE
3.1.3 INDICATORE INFORTUNISTICO
3.2. RISCHI NON MISURABILI
3.2.1 RISCHIO ELETTRICO
3.2.2 MOBILITA’
3.2.3 RISCHIO ESPLOSIONE
3.2.4 RISCHIO IDRAULICO
3.2.5 RISCHIO INCENDIO
3.2.6 LAVORO NOTTURNO
3.2.7 MOVIMENTAZIONE MANUALE DEI CARICHI
3.2.8 VIDEOTERMINALI
3.2.9 STRESS DA LAVORO
3.2.10 RISCHIO BIOLOGICO
3.2.11 RISCHIO AZIONE TERMICA
3.2.12 RISCHIO URTO, SCHIACCIAMENTO, TAGLIO
3.2.13 RISCHIO CADUTA
3.2.14 RISCHIO SCIVOLAMENTO
3.2.15 RISCHIO SEPPELLIMENTO
3.2.16 RISCHIO AZIONE DA AGENTI NOCIVI
3.2.17 RISCHIO PED
3.2.18 RISCHIO LUOGHI CONFINATI
3.2.19 RISCHIO LAVORI AD ALTA QUOTA
3.2.20 RISCHIO LAVORI IN ALTEZZA
3.2.21 RISCHIO FUMO PASSIVO
3.2.22 RISCHIO ALCOOL
3.2.23 RISCHIO STUPEFACENTI
3.2.24 RISCHIO LAVORATRICI MADRI
3.2.25 RISCHIO RADIAZIONI OTTICHE DA SALDATURA
3.2.26 RISCHIO RADIAZIONI OTTICHE COERENTI
3.3. RISCHI MISURABILI DOSEDIPENDENTI
3.3.1 RISCHIO FIBRE AERODISPERSE (amianto, ceramiche, lana di roccia e di vetro)
3.3.2 RISCHIO STRESS DA CALORE
3.3.3 RISCHIO STRESS DA FREDDO
3.3.4 RISCHIO CHIMICO
3.3.5 RISCHIO RADIAZIONI OTTICHE NON COERENTI
3.3.6 RISCHIO RUMORE
3.3.7 RISCHIO VIBRAZIONI
3.4. RISCHI MISURABILI NON DOSEDIPENDENTI
3.4.1 RISCHIO CAMPI ELETTROMAGNETICI CON FREQUENZA TRA 0 E 3 GHz
3.5. RISCHIO SOSTANZE CANCEROGENE E MUTAGENE
3.5.1 RISCHIO RADIOATTIVITA’
4. ALLEGATI
4.1. TABELLA RIASSUNTIVA COEFFICIENTI ABBATTIMENTO RISCHI
...
Art. 2 Definizioni
...
v) "buone prassi": soluzioni organizzative o procedurali coerenti con la normativa vigente e con le norme di buona tecnica, adottate volontariamente e finalizzate a promuovere la salute e sicurezza sui luoghi di lavoro attraverso la riduzione dei rischi e il miglioramento delle condizioni di lavoro, elaborate e raccolte dalle regioni, dall'Istituto superiore per la prevenzione e la sicurezza del lavoro (ISPESL), dall'Istituto nazionale per l'assicurazione contro gli infortuni sul lavoro (INAIL) e dagli organismi paritetici di cui all'articolo 51, validate dalla Commissione consultiva permanente di cui all'articolo 6, previa istruttoria tecnica dell'ISPESL, che provvede a assicurarne la più ampia diffusione
...
Art. 15 Misure generali di tutela
...
t) la programmazione delle misure ritenute opportune per garantire il miglioramento nel tempo dei livelli di sicurezza, anche attraverso l'adozione di codici di condotta e di buone prassi.
ENEL 2012
Collegati
| Descrizione | Livello | Dimensione | Downloads | |
|---|---|---|---|---|
| Buona prassi ENEL 2012.pdf MLPS - 2012 |
806 kB | 394 |
Tags: Sicurezza lavoro Valutazione dei Rischi Buone Prassi MLPS Abbonati Sicurezza






















