ISO 4301-1:2016 Classificazione di servizio apparecchi sollevamento
| ID 4366 | | Visite: 41036 | Documenti Riservati Normazione | Permalink: https://www.certifico.com/id/4366 |
ISO 4301-1:2016 Revisione tecnica classificazione di servizio apparecchi sollevamento
In allegato Documento un estratto (EN) della nuova ISO 4301-1:2016 con le novità della revisione tecnica dell'Ed. 1986.
La norma ISO 4301-1, consente di classificare gli apparecchi di sollevamento in funzione del loro servizio.
Con l'Ed. 2016 della ISO 4301-1:2016, (edizione terza), pubblicata da ISO a Luglio 2016, è stata effettuata una "revisione tecnica" importate della precedente norma Ed. 1986 EN 4301-1:1986 (edizione seconda) che è provvisoriamente mantenuta in vigore in quanto specifica un altro approccio alla classificazione delle gru che continueranno ad essere utilizzate all'interno dell'industria per qualche tempo.
La classificazione degli apparecchi di sollevamento previsti da ISO 4301-1 e serie ISO 4301-X, insieme a FEM 1.001, sono riferimenti per determinare:
- la scelta adeguata di una apparecchio di sollevamento in funzione degli impieghi previsti;
- gestione del servizio;
- la vita residua;
I fattori che devono essere presi in considerazione sono:
1) La condizione di impiego, ovvero i cicli operativi e le ore di lavoro effettive dei meccanismi, spendibili durante l’arco della vita prevista dell’apparecchio di sollevamento. Poiché l'apparecchio può essere usato per vari servizi, il numero totale dei cicli operativi è la somma totale di tutti i cicli operativi previsti durante la vita desiderata dell'apparecchio di sollevamento.
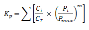
2) Il regime di carico, ovvero lo stato di sollecitazione dell’apparecchio in base al tipo di carico. Esso è riferito al numero di volte che un carico di una certa grandezza è sollevato, in rapporto alla portata nominale dell'apparecchio di sollevamento. Condizione di impiego e regime di carico determinano il fattore di spettro del carico (Kp) dell'apparecchio nel complesso, che può essere calcolato come segue:
Dove:
Ci rappresenta il numero medio di cicli di carico che si hanno a ciascun livello di carico = C1, C2, C3, … Cn;
CT è il totale dei cicli di carico singoli a tutti i livelli = ΣCi = C1 + C2 +C3 … + Cn;
Pi rappresenta le grandezze individuali di carico (livelli di carico) caratteristiche del servizio dell’apparecchio = P1, P2, P3 … Pn;
Pmax è il carico consentito più pesante che deve essere sollevato dall’apparecchio;
m = 3
Novità
- le definizioni:
- i livelli dei regimi di carico Qp (precedenti da 4: Q1,Q2,Q3,Q4), sono ora 6:
The classes Qp differ from the classes Q of ISO 4301-1:1986
- i fattori di spettro del carico dell'apparecchio Kp e dei componenti Kpc (da L);
- gruppi di servizio dell'apparecchio A da 8 (A1, A2, A3,..., A8) a 15 come segue:
- Classe-M, non più prevista (nell'Allegato B è presente una guida alla conversione).
segue in allegato
Fonte ISO
ISO 4301-1:2016
https://www.iso.org/standard/63070.html
ISO 4301-1:1986
https://www.iso.org/standard/10151.html
Certifico Srl - IT Rev. 00 2017
| Descrizione | Livello | Dimensione | Downloads | |
|---|---|---|---|---|
| ISO 4301-1_2016 estratto.pdf Certifico Srl - Rev. 00 2017 |
605 kB | 254 |
Tags: Normazione Norme Direttiva macchine Abbonati Normazione


















